Humid Air Properties#

If you are feeling impatient, jump to Sample HAPropsSI Code, or to go to the code documentation CoolProp.HumidAirProp, otherwise, hang in there.

The equations implemented in CoolProp are based on a publication by Hermann et al. [161], which describes the outcome of the ASHRAE research project ASHREA-RP1485. The same source has been used in the ASHRAE Handbook 2009 to generate reference saturation property tables. The code implemented here passes all tests and reproduces the original data with a very high accuracy. It is applicable for pressure from 0.01 kPa up to 10 MPa, in a temperature range from -143.15 °C up to 350 °C with a humidity ratio from 0 kg of water up to 10 kg of water per kg of dry air.

Humid air can be modeled as a mixture of air and water vapor. In the simplest analysis, water and air are treated as ideal gases but in principle there is interaction between the air and water molecules that must be included through the use of interaction parameters.

Because humid air is a mixture of dry air (treated as a pseudo-pure gas) and water vapor (treated as a real gas), three variables are required to fix the state by the state postulate.

In the analysis that follows, the three parameters that are ultimately needed to calculate everything else are the dry bulb temperature \(T\), the total pressure \(p\), and the molar fraction of water \(\psi_w\). The molar fraction of air is simply \(\psi_a=1-\psi_w\).

Of course, it is not so straightforward to measure the mole fraction of water vapor molecules, so other measures are used. There are three different variables that can be used to obtain the mole fraction of water vapor without resorting to iterative methods.

  1. Humidity ratio

The humidity ratio \(W\) is the ratio of the mass of water vapor to the mass of air in the mixture. Thus the mole fraction of water can be obtained from

\[\psi_w=\frac{n_w}{n}=\frac{n_w}{n_a+n_w}=\frac{m_w/M_w}{m_a/M_a+m_w/M_w}=\frac{m_w}{(M_w/M_a)m_a+m_w}=\frac{1}{(M_w/M_a)/W+1}=\frac{W}{(M_w/M_a)+W}\]

or

\[\psi_w=\frac{W}{\varepsilon+W}\]

where the ratio of mole masses \(\varepsilon\) is given by \(\varepsilon=M_w/M_a\)

  1. Relative Humidity

The relative humidity \(\varphi\) is defined as the ratio of the mole fraction of water in the humid air to the saturation mole fraction of water. Because of the presence of air with the water, the pure water saturated vapor pressure \(p_{w,s}\) must be multiplied by an enhancement factor \(f\) that is very close to one near atmospheric conditions.

Mathematically, the result is

\[\varphi=\frac{\psi_w}{\psi_{w,s}}\]

where

\[\psi_{w,s}=\frac{fp_{w,s}}{p}\]

The product \(p_s\) is defined by \(p_s=fp_{w,s}\), and \(p_{w,s}\) is the saturation pressure of pure water (or ice) at temperature \(T\). This yields the result for \(\psi_w\) of

\[\varphi=\frac{\psi_w}{p_s/p}\]
\[\psi_w=\frac{\varphi p_s}{p}\]
  1. Dewpoint temperature

The dewpoint temperature is defined as the temperature at which the actual vapor pressure of water is equal to the saturation vapor pressure. At the given dewpoint, the vapor pressure of water is given by

\[p_w=f(p,T_{dp})p_{w,s}(T_{dp})\]

and the mole fraction of water vapor is obtained from

\[\psi_w=\frac{p_w}{p}\]

Once the state has been fixed by a set of \(T,p,\psi_w\), any parameter of interest can be calculated

Molar Volume#

(1)#\[p=\frac{\bar R T}{\bar v}\left( 1+\frac{B_m}{\bar v}+\frac{C_m}{\bar v^2}\right)\]

The bracketed term on the right hand side is the compressibility Z factor, equal to 1 for ideal gas, and is a measure of non-ideality of the air. The virial terms are given by

\[ \begin{align}\begin{aligned}B_m=(1-\psi_w)^2B_{aa}+2(1-\psi_w)\psi_wB_{aw}+\psi_w^2B_{ww}\\C_m=(1-\psi_w)^3C_{aaa}+3(1-\psi_w)^2\psi_wC_{aaw}+3(1-\psi_w)\psi_w^2C_{aww}+\psi_w^3C_{www}\end{aligned}\end{align} \]

where the virial coefficients are described in ASRAE RP-1485 and their values are provided in Humid Air Validation. All virial terms are functions only of temperature.

Usually the temperature is known, the water mole fraction is calculated, and \(\bar v\) is found using iterative methods, in HAProps, using a secant solver and the first guess that the compressibility factor is 1.0.

Molar Enthalpy#

The molar enthalpy of humid air is obtained from

\[\bar h=(1-\psi_w)\bar h_a^o+\psi_w\bar h_w^o+\bar R T \left[(B_m-T\frac{dB_m}{dT})\frac{1}{\bar v}+\left(C_m-\frac{T}{2}\frac{dC_m}{dT}\right) \frac{1}{\bar v^2}\right]\]

with \(\bar h\) in kJ/kmol. For both air and water, the full EOS is used to evaluate the enthalpy

\[\bar h_a^o=\bar h_0+\bar RT\left[ 1+\tau\left( \frac{\partial \alpha^o}{\partial \tau}\right)_{\delta}\right]\]

which is in kJ/kmol, using the mixture \(\bar v\) to define the parameter \(\delta=1/(\bar v \bar \rho_c)\) for each fluid, and using the critical molar density for the fluid obtained from \(\bar \rho_c=1000\rho_c/M\) to give units of mol/m3. The offset enthalpies for air and water are given by

\[ \begin{align}\begin{aligned}\bar h_{0,a}=-7,914.149298\mbox{ kJ/kmol}\\\bar h_{0,w}=-0.01102303806\mbox{ kJ/kmol}\end{aligned}\end{align} \]

respectively. The enthalpy per kg of dry air is given by

\[h=\bar h\frac{1+W}{M_{ha}}\]

Enhancement factor#

The enhancement factor is a parameter that includes the impact of the air on the saturation pressure of water vapor. It is only a function of temperature and pressure, but it must be iteratively obtained due to the nature of the expression for the enhancement factor.

\(\psi_{w,s}\) is given by \(\psi_{w,s}=fp_{w,s}/p\), where \(f\) can be obtained from

\[\begin{split}\ln(f)=\left[ \begin{array}{l}\left [ \dfrac{(1+k_Tp_{w,s})(p-p_{w,s})-k_T\dfrac{(p^2-p_{w,s}^2)}{2}}{\overline {R} T}\right] \bar v_{w,s}+\ln[1-\beta_H(1-\psi_{w,s})p]\\ +\left[\dfrac{(1-\psi_{w,s})^2p}{\bar R T}\right] B_{aa}-2\left[\dfrac{(1-\psi_{w,s})^2p}{\bar R T}\right]B_{aw}-\left[\dfrac{(p-p_{w,s}-(1-\psi_{w,s})^2p)}{\bar R T}\right]B_{ww} \\ +\left[\dfrac{(1-\psi_{w,s})^3 p^2}{(\bar R T)^2}\right] C_{aaa}+\left[\dfrac{3(1-\psi_{w,s})^2[1-2(1-\psi_{w,s})]p^2}{2(\bar R T)^2}\right]C_{aaw}\\ -\left[\dfrac{3(1-\psi_{w,s})^2\psi_{w,s}p^2}{(\bar R T)^2}\right]C_{aww}-\left[\dfrac{(3-2\psi_{w,s})\psi_{w,s}^2p^2-p_{w,s}^2}{2(\bar R T)^2}\right]C_{www}\\ -\left[\dfrac{(1-\psi_{w,s})^2(-2+3\psi_{w,s})\psi_{w,s}p^2}{(\bar R T)^2}\right]B_{aa}B_{ww}\\ -\left[\dfrac{2(1-\psi_{w,s})^3(-1+3\psi_{w,s})p^2}{(\bar R T)^2}\right]B_{aa}B_{aw}\\ +\left[\dfrac{6(1-\psi_{w,s})^2\psi_{w,s}^2p^2}{(\bar R T)^2}\right]B_{ww}B_{aw}-\left[\dfrac{3(1-\psi_{w,s})^4p^2}{2(\bar R T)^2}\right]B_{aa}^2\\ -\left[\dfrac{2(1-\psi_{w,s})^2\psi_{w,s}(-2+3\psi_{w,s})p^2}{(\bar R T)^2}\right]B_{aw}^2-\left[\dfrac{p_{w,s}^2-(4-3\psi_{w,s})(\psi_{w,s})^3p^2}{2(\bar R T)^2}\right]B_{ww}^2 \end{array}\right]\end{split}\]

Isothermal Compressibility#

For water, the isothermal compressibility [in 1/Pa] is evaluated from

\[k_T=\frac{1}{\rho\frac{\partial p}{\partial \rho}}\frac{1\mbox{ kPa}}{1000\mbox{ Pa}}\]

with

\[\frac{\partial p}{\partial \rho}=RT\left[1+2\delta\left(\frac{\partial \alpha^r}{\partial \delta}\right)_{\tau}+\delta^2\left(\frac{\partial^2 \alpha^r}{\partial \delta^2}\right)_{\tau}\right]\]

in kPa/(kg/m3). And for ice,

\[k_T=\left( \frac{\partial^2 g}{\partial p^2}\right) \left( \frac{\partial g}{\partial p}\right)_T^{-1}\frac{1\mbox{ kPa}}{1000\mbox{ Pa}}\]

Sample HAPropsSI Code#

To use the HAPropsSI function, import it and do some calls, do something like this

#import the things you need
In [1]: from CoolProp.HumidAirProp import HAPropsSI

#Enthalpy (J per kg dry air) as a function of temperature, pressure,
#    and relative humidity at dry bulb temperature T of 25C, pressure
#    P of one atmosphere, relative humidity R of 50%
In [2]: h = HAPropsSI('H','T',298.15,'P',101325,'R',0.5); print(h)
50423.45039075701

#Temperature of saturated air at the previous enthalpy
In [3]: T = HAPropsSI('T','P',101325,'H',h,'R',1.0); print(T)
290.9620924691789

#Temperature of saturated air - order of inputs doesn't matter
In [4]: T = HAPropsSI('T','H',h,'R',1.0,'P',101325); print(T)
290.9620924691789

Table of Inputs/Outputs to HAPropsSI#

Input/Output parameters#

Parameter

Units

Input/Output

Description

B, Twb, T_wb, WetBulb

K

Input/Output

Wet-Bulb Temperature

C, cp

J/kg dry air/K

Output

Mixture specific heat per unit dry air

Cha, cp_ha

J/kg humid air/K

Output

Mixture specific heat per unit humid air

CV

J/kg dry air/K

Output

Mixture specific heat at constant volume per unit dry air

CVha, cv_ha

J/kg humid air/K

Output

Mixture specific heat at constant volume per unit humid air

D, Tdp, DewPoint, T_dp

K

Input/Output

Dew-Point Temperature

H, Hda, Enthalpy

J/kg dry air

Input/Output

Mixture enthalpy per dry air

Hha

J/kg humid air

Input/Output

Mixture enthalpy per humid air

K, k, Conductivity

W/m/K

Output

Mixture thermal conductivity

M, Visc, mu

Pa-s

Output

Mixture viscosity

psi_w, Y

mol water/mol humid air

Input/Output

Water mole fraction

P

Pa

Input

Pressure

P_w

Pa

Input

Partial pressure of water vapor

R, RH, RelHum

Input/Output

Relative humidity in [0, 1]

S, Sda, Entropy

J/kg dry air/K

Input/Output

Mixture entropy per unit dry air

Sha

J/kg humid air/K

Input/Output

Mixture entropy per unit humid air

T, Tdb, T_db

K

Input/Output

Dry-Bulb Temperature

V, Vda

m \(^3\) /kg dry air

Input/Output

Mixture volume per unit dry air

Vha

m \(^3\) /kg humid air

Input/Output

Mixture volume per unit humid air

W, Omega, HumRat

kg water/kg dry air

Input/Output

Humidity Ratio

Z

Output

Compressibility factor (\(Z = pv/(RT)\))

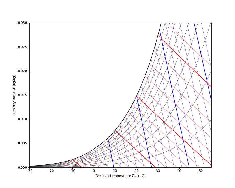
Psychrometric Chart#

(Source code, png, .pdf)

../_images/HumidAir-1.png

Humid Air Validation#

Values here are obtained at documentation build-time using the Humid Air Properties module

In [5]: %run 'fluid_properties/Validation/HAValidation.py'
 Replicating the tables from ASHRAE RP-1485
  
A.6.1 Psychrometric Properties of Moist Air at 0C and Below
Saturated air at 101.325 kPa
====================================================
   T          Ws         v       h          s   
   C      kgw/kg_da   m3/kgda  kJ/kgda  kJ/kgda/K
----------------------------------------------------
     -60 0.0000067    0.6027   -60.325   -0.2494
     -55 0.0000129    0.6169   -55.280   -0.2260
     -50 0.0000243    0.6312   -50.222   -0.2030
     -45 0.0000445    0.6454   -45.144   -0.1805
     -40 0.0000793    0.6597   -40.031   -0.1583
     -35 0.0001379    0.6740   -34.859   -0.1364
     -30 0.0002345    0.6883   -29.593   -0.1145
     -25 0.0003905    0.7027   -24.181   -0.0924
     -20 0.0006373    0.7172   -18.542   -0.0699
     -15 0.0010207    0.7319   -12.560   -0.0465
     -10 0.0016062    0.7468    -6.070   -0.0215
      -5 0.0024863    0.7622     1.165    0.0057
       0 0.0037900    0.7780     9.475    0.0364
====================================================
 
A.6.2 Psychrometric Properties of Moist Air at 0C and Above
Saturated air at 101.325 kPa
====================================================
   T          Ws         v       h          s   
   C      kgw/kg_da   m3/kgda  kJ/kgda  kJ/kgda/K
----------------------------------------------------
       0 0.0037900     0.778      9.47    0.0364
       5 0.0054247     0.794     18.64    0.0697
      10 0.0076626     0.812     29.35    0.1079
      15 0.0106938     0.830     42.12    0.1525
      20 0.0147605     0.850     57.56    0.2057
      25 0.0201734     0.872     76.50    0.2699
      30 0.0273329     0.896    100.01    0.3482
      35 0.0367601     0.924    129.46    0.4448
      40 0.0491445     0.957    166.69    0.5650
      45 0.0654161     0.995    214.17    0.7162
      50 0.0868629     1.042    275.35    0.9081
      55 0.1153262     1.101    355.15    1.1549
      60 0.1535446     1.175    460.89    1.4776
      65 0.2057936     1.273    604.00    1.9084
      70 0.2791668     1.405    803.48    2.5012
      75 0.3863984     1.593   1093.39    3.3518
      80 0.5529259     1.881   1541.79    4.6511
      85 0.8381052     2.367   2307.52    6.8431
      90 1.4202351     3.349   3867.63   11.2559
====================================================
 
A.8.1 Psychrometric Properties of Moist Air at 101.325 kPa 
Dry Bulb temperature of 200C
================================================================
      W        Twb         v       h          s        RH   
  kgw/kg_da      C      m3/kgda  kJ/kgda  kJ/kgda/K    %     
----------------------------------------------------------------
      0.00     45.07     1.341    202.52    0.5558    0.0000
      0.05     55.38     1.448    346.49    1.0299    0.4850
      0.10     61.85     1.556    490.43    1.4736    0.9028
      0.20     69.95     1.771    778.25    2.3337    1.5859
      0.30     75.00     1.986   1066.01    3.1752    2.1208
      0.40     78.51     2.201   1353.73    4.0059    2.5510
      0.50     81.12     2.416   1641.42    4.8295    2.9045
      0.60     83.14     2.630   1929.09    5.6479    3.2002
      0.70     84.76     2.845   2216.73    6.4624    3.4511
      0.80     86.09     3.060   2504.37    7.2737    3.6668
      0.90     87.20     3.274   2791.99    8.0824    3.8541
      1.00     88.15     3.489   3079.60    8.8891    4.0183
================================================================
 
A.8.2 Psychrometric Properties of Moist Air at 1000 kPa 
Dry Bulb temperature of 200C
================================================================
      W        Twb         v       h          s        RH   
  kgw/kg_da      C      m3/kgda  kJ/kgda  kJ/kgda/K    %     
----------------------------------------------------------------
      0.00     90.47     0.136    201.94   -0.1033    0.0000
      0.05    107.30     0.147    345.60    0.3175    4.7863
      0.10    117.69     0.158    488.97    0.7078    8.9096
      0.20    180.72     0.179    775.07    1.4603   15.6512
      0.30    138.66     0.200   1060.53    2.1936   20.9304
      0.40    144.29     0.222   1345.53    2.9157   25.1764
      0.50    148.49     0.243   1630.17    3.6303   28.6655
      0.60    151.76     0.264   1914.54    4.3394   31.5835
      0.70    154.39     0.284   2198.70    5.0443   34.0601
      0.80    156.56     0.305   2482.69    5.7459   36.1883
      0.90    158.37     0.326   2766.53    6.4448   38.0369
      1.00    159.92     0.347   3050.26    7.1414   39.6575
================================================================
 
A.8.3 Psychrometric Properties of Moist Air at 2000 kPa 
Dry Bulb temperature of 200C
================================================================
      W        Twb         v       h          s        RH   
  kgw/kg_da      C      m3/kgda  kJ/kgda  kJ/kgda/K    %     
----------------------------------------------------------------
      0.00    105.93     0.068    201.34   -0.3045    0.0000
      0.05    125.81     0.074    344.62    0.1000    9.3475
      0.10    138.03     0.079    487.33    0.4735   17.4003
      0.20    153.19     0.089    771.38    1.1917   30.5666
      0.30    162.65     0.100   1054.03    1.8898   40.8768
      0.40    169.28     0.110   1335.64    2.5761   49.1691
      0.50    174.23     0.120   1616.43    3.2542   55.9833
      0.60    178.11     0.130   1896.58    3.9265   61.6822
      0.70    181.23     0.140   2176.21    4.5942   66.5189
      0.80    183.81     0.150   2455.41    5.2582   70.6753
      0.90    185.98     0.160   2734.26    5.9193   74.2855
      1.00    187.83     0.169   3012.79    6.5780   77.4505
================================================================
 
A.8.4 Psychrometric Properties of Moist Air at 5000 kPa 
Dry Bulb temperature of 200C
================================================================
      W        Twb         v       h          s        RH   
  kgw/kg_da      C      m3/kgda  kJ/kgda  kJ/kgda/K    %     
----------------------------------------------------------------
      0.00    126.87     0.028    199.72   -0.5738    0.0000
      0.05    151.76     0.030    341.85   -0.1918   21.5445
      0.10    166.94     0.032    482.37    0.1580   40.1047
      0.15    177.63     0.034    621.47    0.4958   56.2606
      0.20    185.72     0.036    759.34    0.8257   70.4509
      0.25    192.15     0.037    896.09    1.1499   83.0138
      0.30    197.42     0.039   1031.82    1.4695   94.2140
================================================================
 
A.8.5 Psychrometric Properties of Moist Air at 10,000 kPa 
Dry Bulb temperature of 200C
================================================================
      W        Twb         v       h          s        RH   
  kgw/kg_da      C      m3/kgda  kJ/kgda  kJ/kgda/K    %     
----------------------------------------------------------------
      0.00    142.19     0.014    197.66   -0.7823    0.0000
      0.05    171.31     0.015    337.69   -0.4188   39.4620
      0.10    188.92     0.016    473.92   -0.0901   73.4579
================================================================
 
A.9.1 Psychrometric Properties of Moist Air at 101.325 kPa 
Dry Bulb temperature of 320C
================================================================
      W        Twb         v       h          s        RH   
  kgw/kg_da      C      m3/kgda  kJ/kgda  kJ/kgda/K    %     
----------------------------------------------------------------
      0.00     54.90     1.681    326.93    0.7901    0.0000
      0.05     62.07     1.816    482.76    1.2864    0.0668
      0.10     67.00     1.951    638.59    1.7525    0.1244
      0.20     73.54     2.221    950.21    2.6573    0.2185
      0.30     77.79     2.491   1261.80    3.5436    0.2922
      0.40     80.80     2.761   1573.37    4.4192    0.3515
      0.50     83.07     3.030   1884.93    5.2876    0.4002
      0.60     84.85     3.300   2196.47    6.1509    0.4409
      0.70     86.28     3.570   2508.01    7.0102    0.4755
      0.80     87.46     3.840   2819.54    7.8664    0.5052
      0.90     88.45     4.109   3131.07    8.7200    0.5310
      1.00     89.29     4.379   3442.59    9.5715    0.5536
================================================================
 
A.9.2 Psychrometric Properties of Moist Air at 1000 kPa 
Dry Bulb temperature of 320C
================================================================
      W        Twb         v       h          s        RH   
  kgw/kg_da      C      m3/kgda  kJ/kgda  kJ/kgda/K    %     
----------------------------------------------------------------
      0.00    107.70     0.171    326.80    0.1318    0.0000
      0.05    118.99     0.185    482.46    0.5751    0.6594
      0.10    126.74     0.198    637.99    0.9880    1.2275
      0.20    137.03     0.225    948.77    1.7865    2.1564
      0.30    143.73     0.252   1259.26    2.5661    2.8838
      0.40    148.52     0.279   1569.56    3.3350    3.4688
      0.50    152.14     0.306   1879.70    4.0966    3.9495
      0.60    154.99     0.333   2189.73    4.8529    4.3515
      0.70    157.29     0.360   2499.68    5.6053    4.6927
      0.80    159.19     0.387   2809.55    6.3544    4.9860
      0.90    160.79     0.414   3119.37    7.1010    5.2407
      1.00    162.16     0.441   3429.15    7.8454    5.4639
================================================================
 
A.9.3 Psychrometric Properties of Moist Air at 2000 kPa 
Dry Bulb temperature of 320C
================================================================
      W        Twb         v       h          s        RH   
  kgw/kg_da      C      m3/kgda  kJ/kgda  kJ/kgda/K    %     
----------------------------------------------------------------
      0.00    126.92     0.086    326.68   -0.0685    0.0000
      0.05    140.12     0.093    482.14    0.3587    1.3189
      0.10    149.16     0.099    637.35    0.7553    2.4551
      0.20    161.20     0.113    947.16    1.5209    4.3128
      0.30    169.07     0.126   1256.41    2.2675    5.7675
      0.40    174.71     0.140   1565.23    3.0031    6.9375
      0.50    178.98     0.153   1873.75    3.7313    7.8990
      0.60    182.35     0.166   2182.04    4.4542    8.7031
      0.70    185.08     0.179   2490.14    5.1730    9.3855
      0.80    187.34     0.192   2798.09    5.8886    9.9719
      0.90    189.25     0.206   3105.93    6.6015   10.4813
      1.00    190.88     0.219   3413.67    7.3123   10.9279
================================================================
 
A.9.4 Psychrometric Properties of Moist Air at 5000 kPa 
Dry Bulb temperature of 320C
================================================================
      W        Twb         v       h          s        RH   
  kgw/kg_da      C      m3/kgda  kJ/kgda  kJ/kgda/K    %     
----------------------------------------------------------------
      0.00    154.63     0.035    326.46   -0.3351    0.0000
      0.05    170.96     0.037    481.31    0.0702    3.2972
      0.10    182.17     0.040    635.49    0.4448    6.1377
      0.15    190.55     0.043    789.13    0.8084    8.6103
      0.20    197.14     0.045    942.31    1.1653   10.7820
      0.25    202.51     0.048   1095.11    1.5175   12.7047
      0.30    206.99     0.050   1247.59    1.8662   14.4188
      0.40    214.09     0.056   1551.73    2.5554   17.3438
      0.50    219.52     0.061   1855.02    3.2369   19.7474
      0.60    223.82     0.066   2157.63    3.9126   21.7577
      0.70    227.33     0.071   2459.71    4.5840   23.4637
      0.80    230.25     0.076   2761.36    5.2518   24.9298
      0.90    232.72     0.081   3062.64    5.9169   26.2033
      1.00    234.85     0.085   3363.63    6.5796   27.3197
================================================================
 
A.9.5 Psychrometric Properties of Moist Air at 10,000 kPa 
Dry Bulb temperature of 320C
================================================================
      W        Twb         v       h          s        RH   
  kgw/kg_da      C      m3/kgda  kJ/kgda  kJ/kgda/K    %     
----------------------------------------------------------------
      0.00    176.72     0.018    326.51   -0.5397    0.0000
      0.05    195.85     0.019    480.31   -0.1514    6.5945
      0.10    209.00     0.020    632.70    0.2054   12.2755
      0.15    218.85     0.022    783.90    0.5507   17.2206
      0.20    226.63     0.023    934.12    0.8889   21.5640
      0.25    233.00     0.024   1083.47    1.2220   25.4093
      0.30    238.33     0.025   1232.08    1.5512   28.8376
      0.40    246.84     0.028   1527.40    2.2005   34.6877
      0.50    253.40     0.030   1820.61    2.8409   39.4949
      0.60    258.63     0.032   2112.08    3.4747   43.5153
      0.70    262.94     0.034   2402.10    4.1033   46.9275
      0.80    266.55     0.036   2690.88    4.7277   49.8597
      0.90    269.63     0.039   2978.59    5.3487   52.4066
      1.00    272.29     0.041   3265.36    5.9667   54.6395
================================================================

Pure fluid Virial Coefficients
------------------------------
T         Baa                 Caaa                Bww                 Cwww                
C         b'm^3/mol'          b'm^6/mol^2'        b'm^3/mol\x002'     b'm^6/mol^2'        
-60.0     -3.3064504913e-05   2.1778728776e-09    -1.1174019230e-02   -1.5162998768e-04   
-50.0     -2.8932056455e-05   2.1163810315e-09    -7.8721344601e-03   -8.7876439931e-05   
-40.0     -2.5223205510e-05   2.0616570944e-09    -5.7127237936e-03   -5.5471167065e-05   
-30.0     -2.1877241883e-05   2.0127116499e-09    -4.2586206439e-03   -3.6054467433e-05   
-20.0     -1.8844568169e-05   1.9687328800e-09    -3.2532396168e-03   -2.3880058317e-05   
-10.0     -1.6084254149e-05   1.9290492160e-09    -2.5411800904e-03   -1.6072254169e-05   
0.0       -1.3562212432e-05   1.8931009119e-09    -2.0256198165e-03   -1.0976416841e-05   
10.0      -1.1249818308e-05   1.8604181700e-09    -1.6446680868e-03   -7.5982156425e-06   
20.0      -9.1228522265e-06   1.8306041394e-09    -1.3578320706e-03   -5.3262047265e-06   
30.0      -7.1606799362e-06   1.8033215779e-09    -1.1380508933e-03   -3.7775456074e-06   
40.0      -5.3456100212e-06   1.7782822977e-09    -9.6688526113e-04   -2.7086426379e-06   
50.0      -3.6623854498e-06   1.7552387450e-09    -8.3154379347e-04   -1.9621726463e-06   
60.0      -2.0977774966e-06   1.7339772333e-09    -7.2300490095e-04   -1.4351072804e-06   
70.0      -6.4025867871e-07   1.7143124658e-09    -6.3480699108e-04   -1.0590893108e-06   
80.0      7.2026273739e-07    1.6960830728e-09    -5.6225490863e-04   -7.8820574569e-07   
90.0      1.9926598215e-06    1.6791479533e-09    -5.0189060427e-04   -5.9126044774e-07   
100.0     3.1847656914e-06    1.6633832580e-09    -4.5113452236e-04   -4.4682462927e-07   
110.0     4.3035215681e-06    1.6486798883e-09    -4.0803910950e-04   -3.4002636972e-07   
120.0     5.3551001609e-06    1.6349414114e-09    -3.7111708564e-04   -2.6044318239e-07   
130.0     6.3450090665e-06    1.6220823143e-09    -3.3922027793e-04   -2.0070296438e-07   
140.0     7.2781778723e-06    1.6100265349e-09    -3.1145310612e-04   -1.5554524200e-07   
150.0     8.1590318924e-06    1.5987062200e-09    -2.8711011151e-04   -1.2118485357e-07   
160.0     8.9915548780e-06    1.5880606719e-09    -2.6563036496e-04   -9.4876457701e-08   
170.0     9.7793425843e-06    1.5780354497e-09    -2.4656385529e-04   -7.4613740198e-08   
180.0     1.0525648716e-05    1.5685816023e-09    -2.2954647025e-04   -5.8919833627e-08   
190.0     1.1233424489e-05    1.5596550080e-09    -2.1428120144e-04   -4.6700067957e-08   
200.0     1.1905352827e-05    1.5512158075e-09    -2.0052390022e-04   -3.7137687457e-08   
T         Baw                 Caaw                Caww                
C         b'm^3/mol\x002'     b'm^6/mol^2'        b'm^6/mol^2'        
-60.0     -6.8305808721e-05   1.0273000716e-09    -1.8214316825e-06   
-50.0     -6.1680233064e-05   1.0001595421e-09    -1.1787612409e-06   
-40.0     -5.5836203092e-05   9.7107903308e-10    -7.9593677251e-07   
-30.0     -5.0645881561e-05   9.4180678583e-10    -5.5678343751e-07   
-20.0     -4.6007498746e-05   9.1337025409e-10    -4.0128618357e-07   
-10.0     -4.1839118849e-05   8.8634392341e-10    -2.9668474376e-07   
0.0       -3.8074090909e-05   8.6101819497e-10    -2.2423408862e-07   
10.0      -3.4657682115e-05   8.3750672364e-10    -1.7276396504e-07   
20.0      -3.1544553729e-05   8.1581500536e-10    -1.3537862024e-07   
30.0      -2.8696845981e-05   7.9588431449e-10    -1.0768721224e-07   
40.0      -2.6082708793e-05   7.7761982700e-10    -8.6816421215e-08   
50.0      -2.3675162869e-05   7.6090853025e-10    -7.0839762898e-08   
60.0      -2.1451208360e-05   7.4563050528e-10    -5.8437245597e-08   
70.0      -1.9391120996e-05   7.3166589756e-10    -4.8686625860e-08   
80.0      -1.7477891584e-05   7.1889908286e-10    -4.0932107713e-08   
90.0      -1.5696776156e-05   7.0722101405e-10    -3.4699849863e-08   
100.0     -1.4034932249e-05   6.9653039669e-10    -2.9642457363e-08   
110.0     -1.2481122776e-05   6.8673412025e-10    -2.5501820730e-08   
120.0     -1.1025473368e-05   6.7774722643e-10    -2.2083805133e-08   
130.0     -9.6592722783e-06   6.6949259959e-10    -1.9240735645e-08   
140.0     -8.3748044505e-06   6.6190050073e-10    -1.6859099163e-08   
150.0     -7.1652131416e-06   6.5490802360e-10    -1.4850792059e-08   
160.0     -6.0243839304e-06   6.4845852337e-10    -1.3146812982e-08   
170.0     -4.9468470096e-06   6.4250104926e-10    -1.1692664630e-08   
180.0     -3.9276944932e-06   6.3698980018e-10    -1.0444965002e-08   
190.0     -2.9625101219e-06   6.3188361380e-10    -9.3689246298e-09   
200.0     -2.0473092535e-06   6.2714549461e-10    -8.4364506623e-09   

Pure fluid Virial Coefficients Derivatives
------------------------------------------
T         dBaa                dCaaa               dBww                dCwww               
C         b'm^3/mol\x002'     b'm^6/mol^2'        b'm^3/mol\x002'     b'm^6/mol^2'        
-60.0     4.3678901718e-07    -6.5259421081e-12   4.0907134267e-04    9.7890225556e-06    
-50.0     3.9094567047e-07    -5.7925951449e-12   2.6368394754e-04    4.2599502143e-06    
-40.0     3.5183089770e-07    -5.1686009316e-12   1.7524578197e-04    2.4534392599e-06    
-30.0     3.1818443574e-07    -4.6339568007e-12   1.1972698408e-04    1.5168064804e-06    
-20.0     2.8902947780e-07    -4.1729431726e-12   8.3872099442e-05    9.6398589135e-07    
-10.0     2.6359917737e-07    -3.7730826593e-12   6.0116039515e-05    6.2432365587e-07    
0.0       2.4128450184e-07    -3.4243800668e-12   4.4005975878e-05    4.1098205932e-07    
10.0      2.2159662973e-07    -3.1187604739e-12   3.2846510930e-05    2.7460401649e-07    
20.0      2.0413943007e-07    -2.8496489141e-12   2.4963984884e-05    1.8603615349e-07    
30.0      1.8858904489e-07    -2.6116525842e-12   1.9294782853e-05    1.2767075965e-07    
40.0      1.7467855065e-07    -2.4003181623e-12   1.5148499662e-05    8.8680535853e-08    
50.0      1.6218630137e-07    -2.2119447569e-12   1.2068194612e-05    6.2299015990e-08    
60.0      1.5092697458e-07    -2.0434384795e-12   9.7459891450e-06    4.4233623231e-08    
70.0      1.4074462510e-07    -1.8921984596e-12   7.9709845791e-06    3.1722699778e-08    
80.0      1.3150724657e-07    -1.7560268233e-12   6.5964818172e-06    2.2965936560e-08    
90.0      1.2310247686e-07    -1.6330570877e-12   5.5189694206e-06    1.6775064043e-08    
100.0     1.1543417961e-07    -1.5216968216e-12   4.6644255474e-06    1.2356543007e-08    
110.0     1.0841970276e-07    -1.4205814367e-12   3.9792467564e-06    9.1745422056e-09    
120.0     1.0198766459e-07    -1.3285367274e-12   3.4241524938e-06    6.8634353500e-09    
130.0     9.6076153981e-08    -1.2445483295e-12   2.9700329278e-06    5.1712456914e-09    
140.0     9.0631258338e-08    -1.1677366865e-12   2.5950842306e-06    3.9226742483e-09    
150.0     8.5605852607e-08    -1.0973364250e-12   2.2828082790e-06    2.9946678537e-09    
160.0     8.0958597486e-08    -1.0326792823e-12   2.0206000698e-06    2.3001072716e-09    
170.0     7.6653106484e-08    -9.7317990685e-13   1.7987394663e-06    1.7768097568e-09    
180.0     7.2657249944e-08    -9.1832399823e-13   1.6096642209e-06    1.3800452917e-09    
190.0     6.8942570813e-08    -8.6765835911e-13   1.4474407409e-06    1.0773984832e-09    
200.0     6.5483792067e-08    -8.2078251748e-13   1.3073752610e-06    8.4521088732e-10    
T         dBaw                dCaaw               dCaww               
C         b'm^3/mol\x002'     b'm^6/mol^2'        b'm^6/mol^2'        
-60.0     7.0671067841e-07    -2.5329306643e-12   8.3652108680e-08    
-50.0     6.2109405080e-07    -2.8479923244e-12   4.8634111869e-08    
-40.0     5.4982837510e-07    -2.9396633262e-12   2.9766967562e-08    
-30.0     4.8992187794e-07    -2.8980941059e-12   1.9020412856e-08    
-20.0     4.3911281598e-07    -2.7799104397e-12   1.2604799172e-08    
-10.0     3.9566848048e-07    -2.6206893674e-12   8.6179394263e-09    
0.0       3.5824516845e-07    -2.4426731561e-12   6.0532052853e-09    
10.0      3.2578908214e-07    -2.2596007123e-12   4.3529611359e-09    
20.0      2.9746516934e-07    -2.0797672895e-12   3.1957227862e-09    
30.0      2.7260533603e-07    -1.9079803096e-12   2.3895374649e-09    
40.0      2.5067028507e-07    -1.7468190020e-12   1.8161835419e-09    
50.0      2.3122106772e-07    -1.5974502672e-12   1.4008122071e-09    
60.0      2.1389764536e-07    -1.4601590182e-12   1.0948500459e-09    
70.0      1.9840257004e-07    -1.3346933582e-12   8.6606704976e-10    
80.0      1.8448844334e-07    -1.2204888941e-12   6.9264384038e-10    
90.0      1.7194819305e-07    -1.1168137618e-12   5.5953719449e-10    
100.0     1.6060747132e-07    -1.0228614572e-12   4.5620187444e-10    
110.0     1.5031866448e-07    -9.3780925812e-13   3.7513243420e-10    
120.0     1.4095613794e-07    -8.6085397191e-13   3.1091182225e-10    
130.0     1.3241243488e-07    -7.9123279439e-13   2.5957962745e-10    
140.0     1.2459521736e-07    -7.2823445525e-13   2.1820572123e-10    
150.0     1.1742478936e-07    -6.7120410110e-13   1.8459817415e-10    
160.0     1.1083207914e-07    -6.1954421544e-13   1.5710036152e-10    
170.0     1.0475698647e-07    -5.7271310484e-13   1.3444819325e-10    
180.0     9.9147021510e-08    -5.3022196394e-13   1.1566843627e-10    
190.0     9.3956178059e-08    -4.9163118437e-13   1.0000548446e-10    
200.0     8.9143996459e-08    -4.5654633851e-13   8.6868060073e-11    

Water saturation pressure p_ws [kPa]
T          p_ws                
C          b'Pa\x00/mol^2'     
-60.00    1.0813475449e+00    
-30.00    3.8005139487e+01    
0.00      6.1115347506e+02    
30.00     4.2466883405e+03    
60.00     1.9945801925e+04    
90.00     7.0182360745e+04    
120.00    1.9866539974e+05    
150.00    4.7610138108e+05    
180.00    1.0026345688e+06    
210.00    1.9073906643e+06    
240.00    3.3466518715e+06    
270.00    5.5028394741e+06    
300.00    8.5877083296e+06    

Henry Constant (zero for T < 273.15 K)
T          beta_H              
C          b'1/Pa\x00ol^2'     
0.01      2.2594633839e-10    
30.01     1.3058555542e-10    
60.01     1.0117905765e-10    
90.01     9.5497073897e-11    
120.01    1.0310894778e-10    
150.01    1.2209642969e-10    
180.01    1.5416532918e-10    
210.01    2.0384427379e-10    
240.01    2.7939520108e-10    
270.01    3.9586839028e-10    
300.01    5.8396949465e-10    

Isothermal Compressibility of water (kT) [1/Pa]
T         p = 101325.000 Pa   p = 200000.000 Pa   p = 500000.000 Pa   p = 1000000.000 Pa  
-60.00    1.0771099108e-10    1.0770400843e-10    1.0768278304e-10    1.0764742021e-10    
-30.00    1.1257575753e-10    1.1256891351e-10    1.1254810951e-10    1.1251344878e-10    
0.00      1.1778484390e-10    1.1777815515e-10    1.1775782318e-10    1.1772394894e-10    
30.00     1.0048218396e-03    1.0047775852e-03    1.0046431164e-03    1.0044192594e-03    
60.00     1.0173376853e-03    1.0172931915e-03    1.0171579998e-03    1.0169329553e-03    
90.00     1.0360937793e-03    1.0360454263e-03    1.0358985238e-03    1.0356540343e-03    
120.00    1.7695003917e+00    1.0604394263e-03    1.0602707553e-03    1.0599901229e-03    
150.00    1.9111838106e+00    9.5989413316e-01    1.0905701909e-03    1.0902325237e-03    
180.00    2.0511819911e+00    1.0326461304e+00    4.0465521554e-01    1.9441817992e-01    
210.00    2.1901914433e+00    1.1043221088e+00    4.3506032354e-01    2.1154168024e-01    
240.00    2.3285841090e+00    1.1753398746e+00    4.6467604880e-01    2.2755082652e-01    
270.00    2.4665706339e+00    1.2459309799e+00    4.9380122272e-01    2.4295534461e-01    
300.00    2.6042765544e+00    1.3162310320e+00    5.2260279146e-01    2.5797921396e-01    

Molar volume of saturated liquid water or ice (vbar_ws) [m^3/mol_H2O]
T         p = 101325.000 Pa   p = 200000.000 Pa   p = 500000.000 Pa   p = 1000000.000 Pa  
-60.00    1.9483157215e-11    1.9482950148e-11    1.9482320703e-11    1.9481271948e-11    
-30.00    1.9562306493e-11    1.9562089195e-11    1.9561428642e-11    1.9560328042e-11    
0.00      1.9651836970e-11    1.9651608576e-11    1.9650914289e-11    1.9649757465e-11    
30.00     1.8094773222e-05    1.8094773222e-05    1.8094773222e-05    1.8094773222e-05    
60.00     1.8323837443e-05    1.8323837443e-05    1.8323837443e-05    1.8323837443e-05    
90.00     1.8662959891e-05    1.8662959891e-05    1.8662959891e-05    1.8662959891e-05    
120.00    1.9102048132e-05    1.9102048132e-05    1.9102048132e-05    1.9102048132e-05    
150.00    1.9645709876e-05    1.9645709876e-05    1.9645709876e-05    1.9645709876e-05    
180.00    2.0310359748e-05    2.0310359748e-05    2.0310359748e-05    2.0310359748e-05    
210.00    2.1126885602e-05    2.1126885602e-05    2.1126885602e-05    2.1126885602e-05    
240.00    2.2149039824e-05    2.2149039824e-05    2.2149039824e-05    2.2149039824e-05    
270.00    2.3473849596e-05    2.3473849596e-05    2.3473849596e-05    2.3473849596e-05    
300.00    2.5297523418e-05    2.5297523418e-05    2.5297523418e-05    2.5297523418e-05    

Enhancement factor (f) [no units]
T         p = 101325.000 Pa   p = 200000.000 Pa   p = 500000.000 Pa   p = 1000000.000 Pa  p = 10000000.000 Pa 
-60.00    1.0070775889e+00    1.0140339780e+00    1.0356182628e+00    1.0730973444e+00    2.2389383691e+00    
-40.00    1.0056000404e+00    1.0110608386e+00    1.0279266142e+00    1.0569409210e+00    1.8450348547e+00    
-20.00    1.0046363568e+00    1.0090315492e+00    1.0225621564e+00    1.0456875555e+00    1.6193678937e+00    
0.00      1.0041972674e+00    1.0078137836e+00    1.0189177377e+00    1.0378059886e+00    1.4778432214e+00    
40.00     1.0048337245e+00    1.0074421047e+00    1.0151963013e+00    1.0282275373e+00    1.3082436191e+00    
80.00     1.0057272574e+00    1.0097059521e+00    1.0168897805e+00    1.0272924735e+00    1.2343415184e+00    
120.00    1.0000000000e+00    1.0001669826e+00    1.0183856131e+00    1.0312270756e+00    1.2048250858e+00    
160.00    1.0000000000e+00    1.0000000000e+00    1.0000000000e+00    1.0231647493e+00    1.2031653250e+00    
200.00    1.0000000000e+00    1.0000000000e+00    1.0000000000e+00    1.0000000000e+00    1.2128825018e+00    
250.00    1.0000000000e+00    1.0000000000e+00    1.0000000000e+00    1.0000000000e+00    1.1903236875e+00    
300.00    1.0000000000e+00    1.0000000000e+00    1.0000000000e+00    1.0000000000e+00    1.0480338998e+00    
350.00    1.0000000000e+00    1.0000000000e+00    1.0000000000e+00    1.0000000000e+00    1.0000000000e+00    

Verification Script#

This script, written in Python, should yield no failures:

import CoolProp.CoolProp as CP
import numpy as np
import itertools
from multiprocessing import Pool
CP.set_config_bool(CP.DONT_CHECK_PROPERTY_LIMITS, True)

def generate_values(TR,P=101325):
    """ Starting with T,R as inputs, generate all other values """
    T,R = TR
    psi_w = CP.HAPropsSI('psi_w','T',T,'R',R,'P',P)
    other_output_keys = ['T_wb','T_dp','Hda','Sda','Vda','Omega']
    outputs = {'psi_w':psi_w,'T':T,'P':P,'R':R}
    for k in other_output_keys:
        outputs[k] = CP.HAPropsSI(k,'T',T,'R',R,'P',P)
    return outputs

def get_supported_input_pairs():
    """ Determine which input pairs are supported """
    good_ones = []
    inputs = generate_values((300, 0.5))
    for k1, k2 in itertools.product(inputs.keys(), inputs.keys()):
        if 'P' in [k1,k2] or k1==k2:
            continue
        args = ('psi_w', k1, inputs[k1], k2, inputs[k2], 'P', inputs['P'])
        try:
            psi_w_new = CP.HAPropsSI(*args)
            if not np.isfinite(psi_w_new):
                raise ValueError('Returned NaN; not ok')
            good_ones.append((k1,k2))
        except BaseException as BE:
            pass
            if 'currently at least one of' in str(BE) or 'cannot provide two inputs' in str(BE):
                pass
            else:
                print(BE)
                good_ones.append((k1,k2))
    return good_ones
supported_pairs = get_supported_input_pairs()

def calculate(inputs):
    """ For a given input, try all possible input pairs """
    errors = []
    for k1, k2 in supported_pairs:
        psi_w_input = inputs['psi_w']
        args = 'psi_w',k1,inputs[k1],k2,inputs[k2],'P',inputs['P']
        try:
            psi_w_new = CP.HAPropsSI(*args)
            if not np.isfinite(psi_w_new):
                raise ValueError('Returned NaN; not ok')
        except BaseException as BE:
            errors.append((str(BE),args, inputs))
    return errors

if __name__ == '__main__':
    import CoolProp
    print(CoolProp.__version__)
    TR = itertools.product(np.linspace(240, 345, 11), np.linspace(0, 1, 11))
    with Pool(processes=2) as pool:
        input_values = pool.map(generate_values, TR)
        errors = pool.map(calculate, input_values)
        for err in itertools.chain.from_iterable(errors):
            print(err)